基于游离氨基酸的组分及特征比较四种食用菌与四种果蔬的营养与风味特征 |
| 段静怡, 李自燕, 李建, 宋寒冰, 傅俊生, 谢宝贵, 朱坚, 陶永新 |
|
Comparison of nutritional and flavor characteristics between four edible fungi and four fruits and vegetables based on components and characteristics of free amino acids |
| DUAN Jing-Yi, LI Zi-Yan, LI Jian, SONG Han-Bing, FU Jun-Sheng, XIE Bao-Gui, ZHU Jian, TAO Yong-Xin |
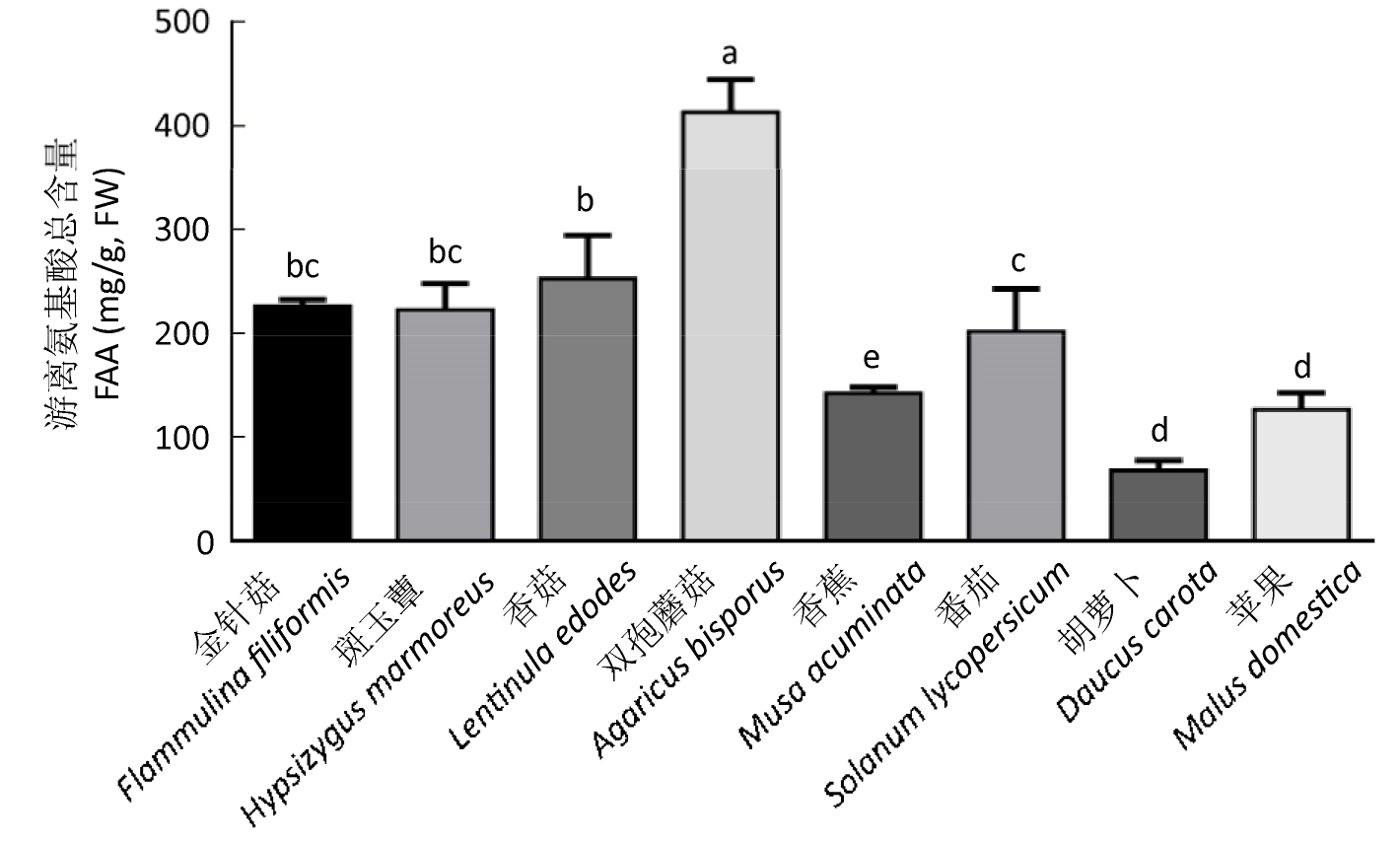
| 图1 八种供试样品游离氨基酸总含量 注:不同小写字母表示差异显著(P<0.05). 供试样品:金针菇、斑玉蕈、香菇、双孢蘑菇、香蕉、番茄、胡萝卜、苹果. 下同. |
| Fig. 1 Total content of free amino acids in eight test samples. Different lowercase letters indicate significant differences (P<0.05). Test samples: Flammulina filiformis, Hypsizygus marmoreus, Lentinula edodes, Agaricus bisporus, Musa acuminata, Solanum lycopersicum, Daucus carota, Malus domestica. The same below. |
|